Web Analytics Made Easy - Statcounter
what temperature can bald eagles survive in Can bald eagles swim? swfl eagles video

what temperature can bald eagles survive in Can bald eagles swim? swfl eagles video

Solved 66% of all bald eagles survive their first year of

If you are searching about Can Bald Eagles Swim? SWFL Eagles Video - SPO you've came to the right page. We have 35 Images about Can Bald Eagles Swim? SWFL Eagles Video - SPO like How Cold Can Bald Eagles Survive? [Explained] - Bird Avid, How Cold Can Bald Eagles Survive? Their 5 Winter Secrets and also How Do Bald Eagles Survive in the Frozen North?. Here you go:

Can Bald Eagles Swim? SWFL Eagles Video - SPO

Can Bald Eagles Swim? SWFL Eagles Video - SPO sportsmansparadiseonline.com

Solved 66% of All Bald Eagles Survive Their First Year Of | Chegg.com

Solved 66% of all bald eagles survive their first year of | Chegg.com www.chegg.com

Ice Kings Of The Sky: How Cold Can Bald Eagles Survive? - The Worlds

Ice Kings of the Sky: How Cold Can Bald Eagles Survive? - The Worlds theworldsrarestbirds.com

Ice Kings Of The Sky: How Cold Can Bald Eagles Survive? - The Worlds

Ice Kings of the Sky: How Cold Can Bald Eagles Survive? - The Worlds theworldsrarestbirds.com

SOLVED: Texts: 78% Of All Bald Eagles Survive Their First Year Of Life

SOLVED: Texts: 78% of all bald eagles survive their first year of life www.numerade.com

How Cold Can Bald Eagles Survive? Their 5 Winter Secrets

How Cold Can Bald Eagles Survive? Their 5 Winter Secrets avianbliss.com

How Cold Can Bald Eagles Survive? Their 5 Winter Secrets

How Cold Can Bald Eagles Survive? Their 5 Winter Secrets avianbliss.com

Solved 80% Of All Bald Eagles Survive Their First Year Of | Chegg.com

Solved 80% of all bald eagles survive their first year of | Chegg.com www.chegg.com

What Adaptations Allow Bald Eagles To Survive? | Animals - Mom.me

What Adaptations Allow Bald Eagles to Survive? | Animals - mom.me animals.mom.me

adaptations eagles bald survive what their do beak talons getty allow grind down jupiterimages mom animals me

How Cold Can Bald Eagles Survive? [Explained] - Bird Avid

How Cold Can Bald Eagles Survive? [Explained] - Bird Avid birdavid.com

Bald Eagles In Extreme Weather: What Temperature Can They Tolerate?

Bald Eagles in Extreme Weather: What Temperature Can They Tolerate? wildlifefaq.com

How Do Bald Eagles Survive In The Frozen North?

How Do Bald Eagles Survive in the Frozen North? www.pinterest.com

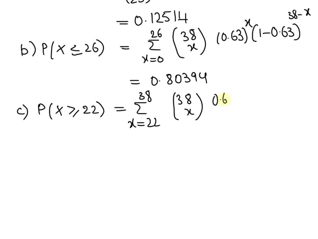
Solved 63% Of All Bald Eagles Survive Their First Year Of | Chegg.com

Solved 63% of all bald eagles survive their first year of | Chegg.com www.chegg.com

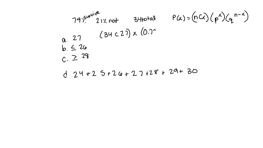
Solved 79% Of All Bald Eagles Survive Their First Year Of | Chegg.com

Solved 79% of all bald eagles survive their first year of | Chegg.com www.chegg.com

How Cold Can Bald Eagles Survive? - Surviving The Chill - Birdwatching

How Cold Can Bald Eagles Survive? - Surviving the Chill - Birdwatching birdwatchingsolution.com

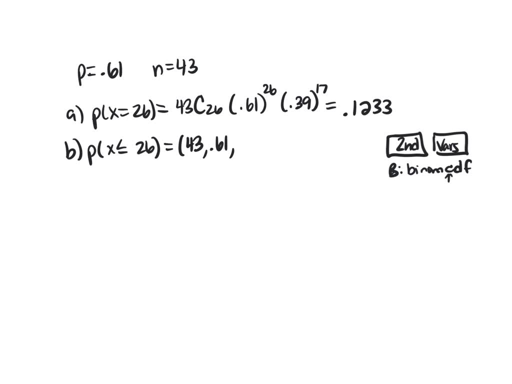
Solved 61% Of All Bald Eagles Survive Their First Year Of | Chegg.com

Solved 61% of all bald eagles survive their first year of | Chegg.com www.chegg.com

Solved 67% Of All Bald Eagles Survive Their First Year Of | Chegg.com

Solved 67% of all bald eagles survive their first year of | Chegg.com www.chegg.com

Watch Live: Pa. Bald Eagle's Nest Nears Hatching Time - CBS News

Watch live: Pa. Bald Eagle's nest nears hatching time - CBS News www.cbsnews.com

bald eagles

How Cold Can Bald Eagles Survive? Their 5 Winter Secrets

How Cold Can Bald Eagles Survive? Their 5 Winter Secrets avianbliss.com

60% of All Bald Eagles Survive Their First Year Of | Chegg.com

60% of all bald eagles survive their first year of | Chegg.com www.chegg.com

How Long Do Bald Eagles Live? (Complete Guide) | Birdfact

How Long Do Bald Eagles Live? (Complete Guide) | Birdfact birdfact.com

Solved 68% Of All Bald Eagles Survive Their First Year Of | Chegg.com

Solved 68% of all bald eagles survive their first year of | Chegg.com www.chegg.com

How Cold Can Bald Eagles Survive? [Explained] - Bird Avid

How Cold Can Bald Eagles Survive? [Explained] - Bird Avid birdavid.com

Falcon Images: Do Golden Eagles And Bald Eagles Coexist

Falcon Images: Do Golden Eagles And Bald Eagles Coexist falcon-images.blogspot.com

bald eagles falcon cornell lab

Bald Eagles In Extreme Weather: What Temperature Can They Tolerate?

Bald Eagles in Extreme Weather: What Temperature Can They Tolerate? wildlifefaq.com

Solved 77% of All Bald Eagles Survive Their First Year Of | Chegg.com

Solved 77% of all bald eagles survive their first year of | Chegg.com www.chegg.com

10 Fun Facts About Bald Eagles

10 fun facts about bald eagles eaglecup.vercel.app

[Solved] 77% Of All Bald Eagles Survive Their First Year Of Life. If 35

[Solved] 77% of all bald eagles survive their first year of life. If 35 www.coursehero.com

Strong Readers Set A: What Can Bald Eagles Do? (L3), 2012 - Indigenous

Strong Readers Set A: What Can Bald Eagles Do? (L3), 2012 - Indigenous www.strongnations.com

Solved 71% of All Bald Eagles Survive Their First Year Of | Chegg.com

Solved 71% of all bald eagles survive their first year of | Chegg.com www.chegg.com

How Cold Can Bald Eagles Survive? Their 5 Winter Secrets

How Cold Can Bald Eagles Survive? Their 5 Winter Secrets avianbliss.com

SOLVED: 63% Of All Bald Eagles Survive Their First Year Of Life. Give

SOLVED: 63% of all bald eagles survive their first year of life. Give www.numerade.com

66% Of All Bald Eagles Survive Their First Year Of Life. Give Your

66% of all bald eagles survive their first year of life. Give your www.numerade.com

Solved 78% Of All Bald Eagles Survive Their First Year Of | Chegg.com

Solved 78% of all bald eagles survive their first year of | Chegg.com www.chegg.com

[Solved] 76% Of All Bald Eagles Survive Their First Year Of Life. Give

[Solved] 76% of all bald eagles survive their first year of life. Give www.coursehero.com

Bald eagles in extreme weather: what temperature can they tolerate?. What adaptations allow bald eagles to survive?. Solved 71% of all bald eagles survive their first year of